На вказану електронну адресу було надіслано повідомлення для підтвердження реєстрації
Як зварити яйце за науковим рецептом
- 550
Фізики вже давно вивели формулу розрахунку часу варіння ідеального яйця, і навіть перетворили її на зручний онлайн-калькулятор. Тож, як зварити яйце?
Спочатку треба помістити в окріп яйце і тримати кілька хвилин (дехто кладе яйця в холодну воду і ставлять на вогонь, але такий метод додатково ускладнює розрахунки).
І ще: Названо фрукти, які можна їсти з кісточками
Щоб яйце легше було чистити, можна додати в окріп оцет або розбити готове яйце і занурити ненадовго в холодну воду. Але головне – час варіння. Різний склад білка і жовтка визначає їх різну реакцію на нагрівання: білок згортається трохи швидше. Перетримавши яйця в гарячій воді, можна отримати неапетитну зелену плівку сульфіду.
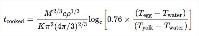
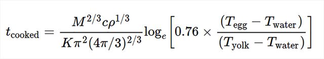
З точки зору фізики варіння яєць – досить складний процес, на агрегатний стан жовтка і білка впливає безліч факторів: температура води при зануренні і швидкість закипання, початкова температура яйця, висота вашої кухні над рівнем моря... Врахувати більшість цих чинників можна вручну за допомогою рівняння, складеного фізиком Чарльзом Вільямсом:
t – це час варіння, m – маса, K – коефіцієнт теплопровідності яйця, ywr – співвідношення мас жовтка і білка. Крім того, вам потрібно точно знати температуру яйця (Tegg) і температуру жовтка (T), плюс, володіти логарифмами.
Читайте також: Чи можна пити розчин соди від печії: поради медиків
-
08:35Іспит з водіння: як не розгубитися за кермом і скласти з першої спроби
-
07:00До дня народження Люка Бессона: підбірка ТОП-5 найкращих фільмів режисера
-
05:30Середа без компромісів: що зірки приготували кожному знаку 18 березня
- 17 березня
-
23:00Гриби з картоплею за 20 хвилин: як приготувати ситну вечерю без зайвих зусиль
-
22:45MELOVIN підтвердив профіль у Tinder і розповів, чому розійшовся з нареченим
-
Українські патріотичні пісні: плейлист, який підіймає дух
-
22:00Дженніфер Лопес у міні вразила після концерту: зірка влаштувала фотосесію у Лас-Вегасі
-
21:45Олена Тополя розкрила правду про розлучення з Тарасом: "Все, нема сім'ї, як такої"
-
21:21Яке свято відзначають 18 березня: традиції, заборони і прикмети на цей день
-
21:00Всього один овоч – і крашанки стануть яскравими: як пофарбувати яйця буряком до Великодня
-
20:35Шон Пенн проміняв Голлівуд на Україну – і отримав "Оскар" із уламків після атаки РФ
-
20:00Вдова соліста гурту ADAM зізналася про біль після втрати: як вона переживає трагедію
-
19:40MELOVIN назвав психлікарню "порятунком" і порадив українцям лікувати менталку
-
19:40Суддя "Танцюють всі" Франциско Гомес заручився з коханим: романтичні кадри
-
З Днем народження: топ 75 привітань у картинках, віршах, прозі та смс українською
-
19:25"Диявол носить Prada": діалог Енн Гетевей та Анни Вінтур на Оскарі-2026 підкорив мережу
-
19:00Кому не варто їсти корицю: названо групи людей, яким ця спеція може нашкодити
-
18:50"Сукня не витримала": Тіна Кароль потрапила у незручну ситуацію під час виступу
-
18:45Як швидко висушити взуття і не зіпсувати його – прості лайфхаки, які реально працюють
-
18:00Троянди навесні: що обов’язково зробити у березні, щоб кущі рясно зацвіли влітку
-
17:35Як здати теорію на права з першого разу: прості лайфхаки, які реально працюють
-
17:00Ніжний вершково-сирний суп за 20 хвилин: як приготувати ідеальну страву з куркою й грибами
-
16:35Оля Полякова шокувала правдою про зятя-американця – чим він заробляє на життя
-
16:00Червона сумка знову в моді: як носити головний аксесуар весни 2026 і виглядати стильно
-
15:40Як перестати боятися самотності та навчитися бути щасливим наодинці
-
08:35Іспит з водіння: як не розгубитися за кермом і скласти з першої спроби
-
07:00До дня народження Люка Бессона: підбірка ТОП-5 найкращих фільмів режисера
-
05:30Середа без компромісів: що зірки приготували кожному знаку 18 березня
- 17 березня
-
21:21Яке свято відзначають 18 березня: традиції, заборони і прикмети на цей день
-
20:35Шон Пенн проміняв Голлівуд на Україну – і отримав "Оскар" із уламків після атаки РФ
-
17:35Як здати теорію на права з першого разу: прості лайфхаки, які реально працюють
-
10:00Мене розпирає, – Полякова поскаржилася на ставлення поляків під час перетину кордону
-
07:01"Голлівуд", "Доля", "Дикий звір" – добірка нових та переспіваних треків EL Кравчука
-
05:3017 березня – день контрастів: несподівані повороти і нові можливості для трьох знаків
- 16 березня
-
21:23Яке свято відзначають 17 березня: традиції, заборони і прикмети на цей день
-
05:30Новий тиждень – нові правила: несподіваний гороскоп на 16 березня для всіх знаків
- 15 березня
-
22:00Яке свято відзначають 16 березня: традиції, заборони і прикмети на цей день
-
16:00Регулярне вживання алкоголю може нашкодити: який напій здатен призвести до гіпертонії
-
13:35На якій руці міряти тиск: лікарі пояснили важливу деталь, про яку мало хто знає
-
12:00Три квітки, які можна сіяти просто в ґрунт: клумба буде пишною без розсади
-
07:00До дня народження Єви Лонгорії 15 березня – дивіться кращі стрічки з її участю
-
05:30Відпустіть зайве і відкрийтесь новому: гороскоп на 15 березня для всіх знаків Зодіаку
- 14 березня
-
22:00Яке свято відзначають 15 березня: традиції, заборони і прикмети на цей день
-
18:00Прикмети про погоду у квітні: що віщують дощі, вітер і навіть цвітіння рослин
-
14:00Ніколи не бронюйте готель, якщо бачите ці 5 сигналів: туристи часто ігнорують їх
-
13:05Тарас Цимбалюк різко прокоментував чутки про роман з Оленою Світлицькою
-
10:00Олександр Усик уперше з'явився на обкладинці Vogue Ukraine: яскраві знімки легенди
-
05:30Три знаки Зодіаку отримають несподіваний знак долі в суботу 14 березня
- 13 березня
-
21:22Яке свято відзначають 14 березня: традиції, заборони і прикмети на цей день
-
16:00Лавандовий шлюб знову у тренді: чому все більше людей обирають партнерство без романтики